INDICE DELLE PRESTAZIONI DEI LABORATORI

    Descrizione 1
    Data aggiornamento scheda
    Autori

    Antonio Amoroso, Sabrina Barbizzi, Fabio Cadoni, Diego Capobianco, Giada Marchegiani, Vanessa Ubaldi

    Abstract
    Grafici interattivi
    Abstract

    Per quanto riguarda la qualità dell’aria i confronti interlaboratorio sono eseguiti per ottemperare a quanto previsto dall’art. 17 del D.Lgs. 13 agosto 2010 n.155, attuativo della Direttiva 2008/50/CE. Tale normativa è stata modificata dal D.Lgs. 250/2012 e dal D.M. 26/1/2017 di recepimento della Direttiva 2015/1480/UE, che obbliga le istituzioni che gestiscono le reti di monitoraggio a partecipare a programmi di garanzia della qualità a livello nazionale organizzate da ISPRA ai sensi del D.M. 4 febbraio 2022, n. 67, che la individua quale laboratorio nazionale di riferimento per la qualità dell’aria.

    La partecipazione di un laboratorio a prove valutative mediante confronti interlaboratorio è uno strumento operativo, nell’ambito delle attività di assicurazione e controllo della qualità, a supporto della dimostrazione della competenza nell’applicazione dei metodi di misura in uso. La qualità delle prestazioni analitiche dei laboratori è valutata in termini di rispetto o meno dei criteri di accettabilità stabiliti a priori da norme tecniche o da criteri tal volta più restrittivi adatti allo scopo adottati dalla Commissione Europea in analoghi studi

    Con riferimento alle misure relative al monitoraggio della qualità dell’aria, confrontando le prestazioni degli anni 2023 e 2025, non si denotano sostanziali variazioni. La percentuale dei laboratori con valutazioni accettabili si aggira attorno al 90% (91% e 88,4% rispettivamente). Il numero complessivo delle valutazioni è aumentato da 5.141 (2023) a 11.187 (2025).

    Descrizione

    L’indicatore descrive la percentuale delle prestazioni analitiche ritenute accettabili (al momento solo per la matrice aria), rapportate al totale delle prestazioni effettuate dai laboratori delle ARPA/APPA e ISPRA. La valutazione della qualità delle prestazioni avviene attraverso la partecipazione dei laboratori a confronti interlaboratorio, strumenti fondamentali per garantire la comparabilità e l’affidabilità dei dati analitici utilizzati nelle attività di monitoraggio e controllo ambientale. I laboratori di tutte le Agenzie e ISPRA hanno eseguito le misure adottando i metodi, gli strumenti di misura, le procedure di QA/QC (Quality Assurance/Quality Control) e quelle per la valutazione dell’incertezza impiegate abitualmente per le proprie attività di monitoraggio della qualità dell’aria. Tali confronti interlaboratorio sono eseguiti in campo e la propria prestazione è valutata sull'intero processo di misura includendo anche il campionamento. I risultati delle misurazioni, secondo tempi prestabiliti, sono inviati all’organizzatore delle prove valutative (ISPRA) per la successiva elaborazione statistica, in accordo a norme internazionali. A ciascun laboratorio partecipante è assegnato un punteggio (z-score, z’-score) relativo alla propria prestazione attraverso il quale il laboratorio valuta le eventuali azioni correttive o di miglioramento necessarie. L’indicatore è costruito aggregando tutti i risultati dei confronti interlaboratorio eseguiti per ciascun anno e sono prese in considerazione due categorie di valutazione della prestazione: accettabile (valori di z-score, z’-score < |2|), non accettabile/discutibile (z-score, z’-score ≥ |2|).

    Scopo

    Valutare l’andamento nel tempo della qualità delle prestazioni complessive dei laboratori che partecipano a prove valutative. La disaggregazione delle valutazioni per parametri di interesse e/o matrici consente di individuare le aree di forza del sistema laboratori a livello nazionale e al contempo le aree di potenziale miglioramento.

    Rilevanza
    È di portata nazionale oppure applicabile a temi ambientali a livello regionale ma di significato nazionale
    È in grado di descrivere la tendenza senza necessariamente fornire una valutazione della stessa.
    È semplice, facile da interpretare.
    Fornisce una base per confronti internazionali.
    Solidità
    È basato su standard nazionali/internazionali e sul consenso nazionale/internazionale circa la sua validità
    È ben fondato sul piano tecnico e scientifico.
    Presenta affidabilità e attendibilità dei metodi di misurazione e raccolta dei dati
    Comparabilità nel tempo
    Comparabilità nello spazio
    Misurabilità (dati)
    Adeguatamente documentati e di fonte nota
    Aggiornati a intervalli regolari e con procedure affidabili
    Facilmente disponibili o resi disponibili a fronte di un ragionevole rapporto costi/benefici
    Un’ “adeguata” copertura spaziale
    Principali riferimenti normativi e obiettivi

    UNI CEI EN ISO/IEC 17025:2018 - Requisiti generali per la competenza dei laboratori di prova e di taratura;

    UNI CEI EN ISO/IEC 17043:2023 - Requisiti generali per prove valutative interlaboratorio;

    'UNI ISO 13528:2022 - Metodi statistici utilizzati nelle prove valutative mediante confronti interlaboratorio

    D.Lgs 155/2010 -Attuazione della direttiva 2008/50/CE relativa alla qualità dell’aria ambiente e per un’aria più pulita in Europa;

    D.Lgs 24 dicembre 2012, n. 250 - Modifiche ed integrazioni al decreto legislativo 13 agosto 2010, n.155, recante attuazione della direttiva 2008/50/CE relativa alla qualità dell'aria ambiente e per un'aria più pulita in Europa;

    DM 26 gennaio 2017 - Attuazione della direttiva (UE) 2015/1480 del 28 agosto 2015, che modifica taluni allegati delle direttive 2004/107/CE e 2008/50/CE nelle parti relative ai metodi di riferimento, alla convalida dei dati e all’ubicazione dei punti di campionamento per la valutazione della qualità dell’aria ambiente;

    DM 30 marzo 2017 - Procedure di garanzia di qualità per verificare il rispetto della qualità delle misure dell’aria ambiente, effettuate nelle stazioni delle reti di misura;

    DM 4 febbraio 2022 - Individuazione laboratorio nazionale di riferimento per la qualità dell’aria;

    Direttiva 2008/50/CE DEL PARLAMENTO EUROPEO E DEL CONSIGLIO del 21 maggio 2008 relativa alla qualità dell’aria ambiente e per un’aria più pulita in Europa.

    DPSIR
    Risposta
    Tipologia indicatore
    Descrittivo (A)
    Riferimenti bibliografici

    ISPRA Serie Manuali e Linee Guida n. 108/2014 “Linee guida per le attività di assicurazione/controllo qualità (QA/QC) per le reti di monitoraggio per la qualità dell'aria ambiente, ai sensi del D, Lgs, 155/2010 come modificato dal D, Lgs, N,250/2012”,

    ISPRA, Serie Manuali e Linee Guida n. 19/2018 “Procedure operative per l’applicazione e l’esecuzione dei controlli di QA/QC per le reti di monitoraggio della qualità dell’aria”

    ISPRA, Serie Manuali e Linee Guida n. 37/2021 “Procedure operative per l’applicazione e l’esecuzione dei controlli di QA/QC per le reti di monitoraggio della qualità dell’aria – Volume 2”,

    ISPRA - PROVA VALUTATIVA INTERLABORATORIO ISPRA-IC060 “Misure delle concentrazioni in massa delle frazioni PM10 e PM2,5 di materiale particolato nell’aria ambiente” Rapporto Conclusivo-2023

    ISPRA - PROVA VALUTATIVA INTERLABORATORIO ISPRA-IC069 “Misure delle concentrazioni in massa delle frazioni PM10 e PM2,5 di materiale particolato nell’aria ambiente” Rapporto Conclusivo – 2025

    ISPRA - PROVA VALUTATIVA INTERLABORATORIO ISPRA-IC070 “Misure della concentrazione dei metalli e degli IPA nel PM10” Rapporto Conclusivo - 2025

    ISPRA - PROVA VALUTATIVA INTERLABORATORIO ISPRA-IC071 “Misure in campo delle concentrazioni di monossido di azoto, biossido di azoto, ozono e benzene nell’aria ambiente” Rapporto Conclusivo - 2025

    Fonte dei dati

    ISPRA (Istituto Superiore per la Protezione e la Ricerca Ambientale)

    Frequenza di rilevazione dei dati
    Two year
    Accessibilità dei dati di base

    I dati dell’indicatore sono raccolti, elaborati e archiviati da ISPRA, accessibili al pubblico attraverso i rapporti conclusivi di ciascun circuito.

    Copertura spaziale

    Nazionale

    Copertura temporale

    2023; 2025

    Descrizione della metodologia di elaborazione

    Per ciascun anno di riferimento è stata calcolata la percentuale dei valori accettabili rispetto al totale delle valutazioni di prestazione per ogni parametro di interesse

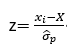
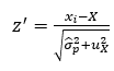
    La valutazione dell’accettabilità dei dati di ciascun partecipante è effettuata sulla base dei punteggi di z-score, o z’-score, calcolati rispettivamente secondo l’Equazione 1 e 2 . La scelta tra z-score o z'-score è conseguenza del rispetto del criterio ux <0.3descritto nella norma ISO 13528:2022 (par. 9.2). Quando il criterio è soddisfatto la valutazione dell’accettabilità si basa sul valore di z-score, altrimenti si basa sul valore di z'-score.

    z-score

          (Equazione 1)

    dove:

    xi =                  valore medio riportato dal Partecipante, relativo al misurando;

    X =                valore di riferimento del misurando;

    =            scarto tipo obiettivo.

    Lo scarto tipo obiettivo di ogni prova valutativa è calcolato in accordo alle normative di riferimento.

    z’-score

          (Equazione 2)

    dove:

    xi =               valore medio riportato dal Partecipante, relativo al misurando;

    X =                valore di riferimento del misurando;

    =            scarto tipo obiettivo;

    ux =               incertezza del valore di riferimento.

    Lo scarto tipo obiettivo è calcolato in accordo alle normative di riferimento o ad analoghi studi adottati dalla Commissione Europea adatti allo scopo.

    Periodicità di aggiornamento
    Biennale
    Qualità dell'informazione

    L’indicatore sintetizza, a livello nazionale, in modo semplice e comprensibile i dati di qualità delle prestazioni dei laboratori del sistema SNPA. L’applicazione delle norme tecniche di riferimento relative all’organizzazione e alla gestione delle prove valutative garantiscono la comparabilità nel tempo e nello spazio

    Stato
    Buono
    Trend
    Stabile
    Valutazione/descrizione dello stato

    Pur in assenza di un obiettivo di norma definito, il raggiungimento di valori accettabili 91% nel 2023 e 88,4% nel 2025, costituisce un elemento di giudizio positivo delle capacità analitiche dei laboratori impegnati in attività di controllo/monitoraggio ambientale sull’ intero territorio nazionale (Tabella 3 e Figura 3).

    Valutazione/descrizione del trend

    Nelle due annualità di riferimento, a fronte dell’aumento delle misurazioni da 5.141 (2023) a 11.187 (2025), non si denotano variazioni significative della percentuale delle prestazioni accettabili, che passa dal 91% del 2023 all’88,4% del 2025, delineando una tendenza pressoché stabile (Tabelle 1,2 e 3 e Figura 3). 

    Commenti

    Nel 2023 i valori accettabili, considerando le categorie: particolato atmosferico, metalli pesanti e idrocarburi policiclici aromatici su particolato depositato su filtro, variano da un minimo dell’88% a un massimo di oltre il 92%. Le prestazioni discutibili e non accettabili richiedono, da parte dei laboratori, che siano strutturate azioni di miglioramento e/o approfondimenti specifici. In questo contesto, la percentuale associata all’indicatore varia da un minimo dell’8% a un massimo del 12% (Tabella 3 e Figura 1).

    Nel 2025 i valori accettabili, considerando le categorie: inquinanti gassosi, particolato atmosferico, metalli pesanti e idrocarburi policiclici aromatici su particolato depositato su filtro, variano da un minimo del 75,8% (metalli) a un massimo del 93,4% (Inquinanti gassosi). Le prestazioni discutibili e non accettabili richiedono, da parte dei laboratori, che siano strutturate azioni di miglioramento e/o approfondimenti specifici. In questo contesto, la percentuale associata all’indicatore varia da un minimo di 6,6% ad un massimo di 24,2% (Tabella 3 e Figura 2).

    Il numero complessivo delle valutazioni tra il 2023 e il 2025 si è più che raddoppiato passando da 5.141 a 11.187 a conseguenza di una maggiore offerta di prove valutative.

    Allegati
    Titolo

    Tabella 1: Numero delle prestazioni acettabili e non accettabili per la qualità dell'aria (2023)

    Fonte

    ISPRA

    Titolo

    Tabella 2: Numero delle prestazioni accettabili e non accettabili per la qualità dell'aria (2025)

    Fonte

    ISPRA

    Titolo

    Tabella 3: Andamento delle valutazione delle prestazioni per classi di misure sulla qualità dell'aria

    Fonte

    ISPRA

    Thumbnail
    Titolo

    Figura 1: Valutazione delle prestazioni per classi di misure sulla qualità dell'aria (2023)

    Fonte

    ISPRA

    Thumbnail
    Titolo

    Figura 2: Valutazione delle prestazioni per classi di misure sulla qualità dell'aria (2025)

    Fonte

    ISPRA

    Thumbnail
    Titolo

    Figura 3: Andamento delle prestazioni per classi di misure sulla qualità dell'aria

    Fonte

    ISPRA

    Grafici interattivi
    Italian